登录| 注册    
收藏  点赞 

液体的平衡

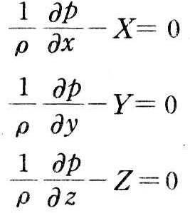
液体存在的一种状态。从静止液体中取出微小六面体,边长为dx、dy、dz,如图1所示,根据力学平衡条件得出其微分方程如下: 液体的平衡 图1 液体的平衡 式中 ρ、p分别为液体的密度和压强;X、Y、Z分别为单位质量液体所受到的质量力在三个坐标轴方向上的分力。如质量力只计重力

液体存在的一种状态。从静止液体中取出微小六面体,边长为dx、dy、dz,如图1所示,根据力学平衡条件得出其微分方程如下:

液体的平衡

图1 液体的平衡

式中 ρ、p分别为液体的密度和压强;X、Y、Z分别为单位质量液体所受到的质量力在三个坐标轴方向上的分力。如质量力只计重力,则上述方程积分后可得:

p=p0+γh

式中 p为任一点的压强;p0为液体表面压强;γ为液体的容重;h为该点在液面以下的深度。上式称为重力作用下的液体平衡方程。如果液体各部分之间、液体与容器之间没有相对运动,但液体随容器相对于地球运动,则称液体处于相对静止。此时将座标系选在固定容器上,在液体实际受到的外力上,再加上牵引惯性力,仍可用平衡微分方程来分析这类问题。如对于图2所示液体随小车以等加速度a运动的情况,在分析受力时,加上x方向的牵引惯性力-a,则积分后可得出压强分布式为p=p0-γ(x+z),自由表面方程为z=-x。式中p0为液体表面压强,g为重力加速度。又如对于图3所示液体随圆筒以等转速ω绕其中心铅垂轴旋转的情况,牵引惯性力在x、y轴上的分量分别为ω2x及ω2y,则同样可导出压强分布式p=p0+γ(-z),自由表面方程为z=,为一旋转抛物面。式中p0为液体表面压强,r为该点所在位置的半径。

图2 等加速运动

图3 等转速运动