登录| 注册    
收藏  点赞 

蓄满产流法

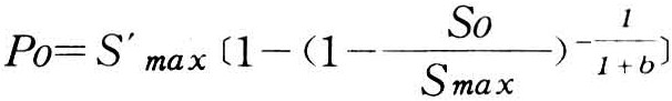
max曲线以下的面积即为流域平均土壤最大蓄水量。推求流域蓄水容量曲线是先假定它的线型和参数,由此建立降雨径流关系,再用实测资料调试优选,中国使用的有抛物线方程和指数方程两种线型。如用b次抛物线方程表示流域蓄水容量曲线则: 流域蓄水容量曲线及降雨径流关系曲线 蓄满产流法 同理,对图中S0相应的P0,可得下式: 蓄满产流法 对径流深R的计算,分别说明如下:当(P-E+P0)<S′max时

假定在湿润地区降雨量大于包气带土壤田间持水量后才产生径流的一种计算产流量的方法。它是20世纪60年代初期,中国华东水利学院提出的。湿润地区雨量充沛,地下水位较高,包气带不厚,深层土壤的湿度常达到田间持水量,故包气带缺水量不大,当流域上某一点雨量满足包气带最大缺水量之后就全部形成径流(包括地面径流与地下径流)。对全流域而言,流域缺水量分布情况用流域蓄水容量曲线表示,借助于流域蓄水容量曲线即可由降雨量预报产流量。

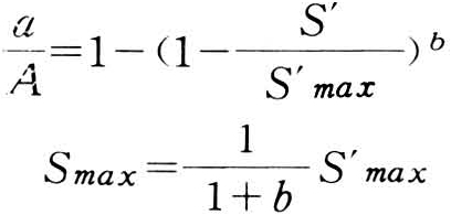
流域蓄水容量曲线如图所示。其纵坐标S′是流域上某一点的土壤蓄水容量,它为该土层与田间持水量相当时的蓄水量与土壤最干时的蓄水量之差,其值与该土层最大缺水量相同;横坐标为a/4、a是流域内包气带蓄水量小于和等于S′的面积,A是全流域面积。流域蓄水容量曲线表示土壤蓄水容量等于或小于某S′值的流域面积,它反映了包气带最大缺水量在面上的分布情况。S′的最大值为点最大蓄水容量S′max。S′max曲线以下的面积即为流域平均土壤最大蓄水量。推求流域蓄水容量曲线是先假定它的线型和参数,由此建立降雨径流关系,再用实测资料调试优选,中国使用的有抛物线方程和指数方程两种线型。如用b次抛物线方程表示流域蓄水容量曲线则:

流域蓄水容量曲线及降雨径流关系曲线

蓄满产流法

同理,对图中S0相应的P0,可得下式:

蓄满产流法

对径流深R的计算,分别说明如下:

当(P-E+P0)<S′max时,

蓄满产流法

式中 P为一次降雨量(毫米);E为雨期蒸发量(毫米);R为一次降雨形成的径流量(毫米);S0为降雨开始时流域平均土壤蓄水量;b代表蓄水容量分布的不均匀性,决定于流域的地形、地质等条件,Smax主要决定于流域的气候和植被等特征,可由实测资料或优选法选定,根据式(1)、式(2)作出的降雨径流关系见图。在实际计算产流时,需求出起始的流域土壤蓄水量,它的计算关键是确定时段内流域蒸散发量,常按流域土壤情况分层计算;为了解决降雨在面上分布的不均匀性,可考虑用单元面积计算;产流量计算时段可任取,一次洪水总量是各个时段产流量之和,产流量中稳定下渗部分为地下径流,超过稳定下渗部分为地面径流,在中国也有将水源划分为地面水,壤中流及地下水三种进行计算的。