登录| 注册    
收藏  点赞 

特征河长法

采用特征河长的概念,按特征河长分段,连续流量演算,求得汇流曲线。所谓特征河长是使河段蓄量与下断面流量有单值关系的河段长度,计算式是: 特征河长法 式中 so、Qo、()分别表示恒定流状态下的比降、流量和水位~流量关系线的坡度。因此,根据特征河长这个概念,如果在计算河长内用特征河长来分成n个河段

采用特征河长的概念,按特征河长分段,连续流量演算,求得汇流曲线。所谓特征河长是使河段蓄量与下断面流量有单值关系的河段长度,计算式是:

特征河长法

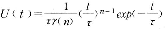
式中 so、Qo、()分别表示恒定流状态下的比降、流量和水位~流量关系线的坡度。因此,根据特征河长这个概念,如果在计算河长内用特征河长来分成n个河段,则每个特征河段的槽蓄方程均可表示为S=τQ(τ为特征河长的传播时间),从而简化了圣·维南方程组的动力方程。用第一个特征河段的槽蓄方程与连续方程联解,就得到第一个特征河段的出流,以此可作为下一个河段的入流,逐段进行演算,假定每个特征河长的传播时间τ相等且为常数,就可求得n个河段的汇流曲线方程:

特征河长法

式中 U(t)为汇流曲线的纵标;γ为伽函数;n为特征河段数。则出流量等于入流量乘汇流曲线纵标的总和。

该法是1958年加里宁(Г.П.Калинин)和米留柯夫(П.И.Милюков)提出的,并于1963年作了改进。1963年中国长江流域规划办公室提出了适合任何入流历时的特征河长概念的“长办汇流曲线”,其特点是改进了原法(1958)因入流历时增长,而假定时段内入流没有形成出流所产生的误差。