登录| 注册    
收藏  点赞 

水文平衡

水文系统(大如河流、湖泊、沼泽、冰川,小如田块、植株等)中水文要素物理量的收支平衡关系。水文要素的物理量如河中水量、湖水热量,河流输沙量等,其收入量等于支出量与系统内的变量之和。水文平衡,从质量守恒定律出发,有水量平衡、沙量平衡和盐量平衡;从能量守恒定律出发,有能量平衡、热量平衡;从动量守恒定律出发则有动量平衡等。

水文系统(大如河流、湖泊、沼泽、冰川,小如田块、植株等)中水文要素物理量的收支平衡关系。水文要素的物理量如河中水量、湖水热量,河流输沙量等,其收入量等于支出量与系统内的变量之和。水文平衡,从质量守恒定律出发,有水量平衡、沙量平衡和盐量平衡;从能量守恒定律出发,有能量平衡、热量平衡;从动量守恒定律出发则有动量平衡等。上述各种平衡都具有相同的原理,而水量平衡是水文学中应用最广的基本原理,也是其它各种平衡如沙量、盐量、热量平衡的基础。

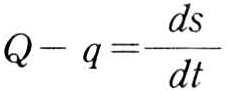
水量平衡方程式 水量平衡方程式的通式为

水文平衡

写成差分形式为:

水文平衡

式中 Q为入流量;q为出流量;Q△t为计算时段△t内收入水量;q△t为支出水量;为计算时段内蓄水变量。对于任一具体水体来说,入流量一般由降水P(地面降雨和降雪)、地表和地下径流RsI、RgI组成;而出流量包括蒸发E、地表和地下径流Rso、Rgo。当入流量超过出流量时,蓄水量增加;当入流小于出流时,蓄水量减少。水量平衡各要素都有测验误差或估算误差η。故任何水体在任意计算时段内的水量方程式可写成:

P+RsI+RgI-E-Rso-Rgo±△S±η=0

水量平衡方程式的简繁程度与所研究的问题有关。例如对短时段的水量平衡方程式,流域蓄水变量不但不可忽略,并且必须细分为:土壤蓄水变量、地下含水层蓄水变量、湖泊和洼地中的蓄水变量、河槽中的蓄水变量以及积雪和冰川的蓄水变量,因而水量平衡方程式具有较繁杂的形式。

水量平衡计算精度 水量平衡计算可用于任意时段,如年、季、月或旬,也可用于这些时段的多年平均情况,但是两者具有不同的计算特点。多年平均的水量平衡计算通常以年为计算时段(日历年或水文年),是最简单的水平衡问题,因为计算中可以忽略不计其中难以测量或计算的流域蓄水量变化项△S。短时段的水量平衡中,△S越难以测量或计算,要求水平衡各要素的测量或计算的精度越高,因此水量平衡方程式往往不闭合。季平均、月平均的水量平衡计算中,必须计及△S。河流流域水量平衡计算的精度,同流域面积大小有关。计算精度随着流域面积的减小而降低。这是因为对小流域来说,有些水平衡要素,如对相邻流域的水量交换、湖泊洼地的蓄水、森林和农田的水分动态等都难以估算。随着流域面积增大这些因素的影响变小,计算精度变高。湖泊水库、沼泽和地下水的水量平衡计算的复杂程度却随着面积的增大而增加。因为对大水体来说,有些水量平衡要素如湖岸侧向入流、蓄水量变化、湖面降水量等,测量和估算的精度比小水体低。

在水量平衡计算中,对无实测资料的水平衡要素应尽可能采用相对独立的方法来计算,以提高计算精度。一般来说由于测定和估算水平衡要素,不可避免地存在一定误差,水量平衡方程式往往不闭合。水量平衡的闭合误差η可作为水量平衡方程式的余项而求得,η中应包括各要素测定或计算的误差以及方程式中没有列入的其它要素值。η小,只表明各平衡要素趋向于平衡,未必说明它们各自的精度高。有些不可能实测或用计算方法推求的水平衡要素,可以作为水量平衡方程式的余项求得。余项中包含了平衡误差,误差值甚至可能大于待求要素值本身。如果通过经验公式或半经验公式,由一个实测要素估算另一平衡要素,那么估算的平衡要素值将包括公式的误差和实测要素的测量误差。在这种情况下平衡误差是未知的。

水量平衡的应用 水量平衡方程式中各项要素通常以水深(毫米)计。也可以用体积或流量计。用水量平衡方法解决水文实际问题的主要困难在于确定各要素值。降水量一般由实测而得。实测径流量在理想的条件下可能达到95%的精度,但在汛期精度却低得多。土壤水分可用同位素土壤湿度计或用取土壤秤重法推求。下渗通常用入渗仪或由降雨径流模型估算得。蒸发量由蒸发器或间接方法近似推求。地下水出、入流量往往只能粗略估算。水量平衡是现代水文学的一种基本理论和方法,也是水文学的重要研究课题。深入研究水量平衡,有助于系统全面地掌握区域内水文循环各组成要素的数量和对比关系,从而为评价区域内的水文、气候特征和水资源蕴藏量及其分布特征提供科学依据。在现代水文学中,水量平衡方法也是分析研究水文现象及水文规律的重要方法,广泛地用于解决各种水文问题,例如估算农田蒸发量及其他无实测资料的水文要素,对水文测验水文计算成果和水文站网的合理性分析等。