登录| 注册    
收藏  点赞 

水库水文预报

针对水库特点,根据已知的水文气象等资料,对水库各种水文要素未来的变化进行预测。它是确保水库安全及合理调度的重要依据。预报项目包括入库流量、库水位和下泄流量过程以及冰情、风浪、泥沙冲淤等,水库建成以后,库区内的原来河道被淹没,改变了原有天然河道的特性。

针对水库特点,根据已知的水文气象等资料,对水库各种水文要素未来的变化进行预测。它是确保水库安全及合理调度的重要依据。预报项目包括入库流量、库水位和下泄流量过程以及冰情、风浪、泥沙冲淤等,水库建成以后,库区内的原来河道被淹没,改变了原有天然河道的特性。主要表现在:①水面面积增大,库区内降雨直接形成径流,但其蒸发量也加大;②水深加大,波速加快,洪水波进入水库后迅速向四周传播,缩短了洪水传播时间;③加大了对洪水的调蓄作用。因此,建库后的入库洪水过程,涨水段变陡,峰现时间提前。

水库洪水预报 水库洪水预报首先预报入库流量,再通过水库调洪演算,求得坝前水位和下泄流量过程。入库流量由三部分组成:①上游各入库站(不受回水影响)的流量演算至库周边的上游来水量;②各入库站以下到水库回水末端间的区间面积上汇入库周边的区间入流量;③直接降落在库面上的降水量(扣除蒸发及渗漏等损失量)所转化的流量。前两部分的预报方法与天然流域的方法相同;第三部分可直接采用库面降雨量。由于区间和库面的面积受库水位高低而异,因此,为了作业预报的方便,一般可分为几级编制相应的入库流量预报方案。水库坝前水位的变化过程是入库流量、水库容蓄量和排泄量三者关系的直接反映,因此,库容曲线和泄流曲线是水库洪水预报的重要工作曲线。库容曲线是由入库流量过程和出库流量过程计算出的水库容积与其相应的库水位(坝前水位)的关系线。当它呈绳套形时,其绳套的大小反映了动库容的影响。如采用水量平衡方程进行水库调洪演算,则必须设法使其呈单一线,泄流曲线视水库泄流条件而异。对有闸门控制的水库,具有一组不同泄流设备的泄流曲线;对无闸门控制的水库,则为单一线,根据库容曲线和泄流曲线编制成水库调洪演算工作图,以推求坝前水位和下泄流量过程。

水库施工期水文预报 根据施工各阶段的情况和要求,向施工部门提供未来水情的变化过程,为争取有利的施工时机,合理安排工程进度,保证施工安全服务。修建水库一般工期较长,而围堰施工和截流,多选在枯季进行,因此,要全面作好全年洪枯水的预报,包括来水量预报,围堰施工、截流、导流期预报等,在寒冷地区施工的水库,还需作冰情预报,由于施工进程不同,施工区的天然河流水力特性和水流情况随时改变,就需要深入现场了解实际情况和根据最新资料,修改或编制相适应的预报方案。施工期的来水量预报方法与一般天然河道相同,围堰施工阶段,由于围堰使河道束窄,上游水位壅高,可采用水工模型试验水力学公式计算,求得围堰后的水位、流量、库容之间的新的关系,用调洪演算法预报围堰上、下游水位及束窄段流量,施工进入截流期,根据来水量利用水力学公式计算龙口上、下游水位和流速。

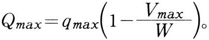
中小型水库简易水文预报 中国将库容小于1亿立方米的水库划为中小型水库,由于集水面积小,洪水汇流迅速,故预报预见期短,水库溢洪方式较固定,一般先报出入库洪水总量和入库洪峰流量,再经过简易的调洪演算,进行水库最高水位和最大出流量的预报。入库洪水总量和入库洪峰流量的预报,是由降雨径流关系及洪水总量与洪峰流量关系求得。为了简化水库进、出水量平衡关系,有时把入库流量和出库流量过程都概化为三角形,应用简易公式求得一次洪水过程中的水库最高水位与最大出流量及其出现时间。预报时,常编制成简易图表便于查算。其简易公式为:

水库水文预报

式中 Qmax为最大泄洪流量(或最大出库流量);qmax为入库洪峰流量;Vmax为最大调洪库容;W为入库洪水总量。中小型水库预报对保证农业灌溉,发展农业生产有很大的作用,在作出水库的最高水位、最大出流量预报后,需随时掌握水库防洪库容的变化,计算水库水位到达某一级控制标准时(如防洪限制水位)所能防御后续降雨的能力,同时又要根据水库蓄水量,假定没有后续降雨时,算出保证灌溉田亩能抗旱天数,以便结合天气情况分析,及早采取适当防洪或抗旱措施。