登录| 注册    
收藏  点赞 

喷灌技术要素

影响喷灌质量的主要因素,包括喷灌强度、喷灌均匀度和水滴打击强度。在进行喷灌时,要求喷灌强度低、喷洒均匀和打击强度小,以保证土壤不板结、结构不破坏、水不流失、作物不受损并均衡生长。喷灌强度是单位时间内喷洒的水深,也称喷洒率。通常用喷洒区域内点喷灌强度的平均值

影响喷灌质量的主要因素,包括喷灌强度、喷灌均匀度和水滴打击强度。在进行喷灌时,要求喷灌强度低、喷洒均匀和打击强度小,以保证土壤不板结、结构不破坏、水不流失、作物不受损并均衡生长。

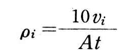
喷灌强度是单位时间内喷洒的水深,也称喷洒率。通常用喷洒区域内点喷灌强度的平均值,即平均喷灌强度表示整个区域的喷灌强度。点喷灌强度可用下式计算:

喷灌技术要素

式中 pi为点喷灌强度(毫米/小时);vi为实测雨量筒内水体积(厘米3);A为雨量筒开口面积(厘米2);t为喷洒时间(小时)。实际测试时,雨量筒可用不同的排列方法,所以在测得点喷灌强度后计算平均值时,亦需考虑雨量筒排列方式。

雨量筒排列为均布(如方格状)时,由于每一雨量筒代表了相同的受雨面积,因此平均喷灌强度为各点喷灌强度的算术平均值,即:

喷灌技术要素

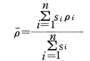
式中为平均喷灌强度,n为受雨的雨量筒数。当雨量筒为不均匀排列时(如辐射状),因每一雨量筒代表的受雨面积不同,所以平均喷灌强度为各点喷灌强度的加权平均值,即:

喷灌技术要素

式中 si为各点处雨量筒所代表的受雨面积(米2)。

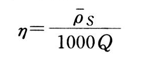
与平均喷灌强度相应的喷洒水深不包括飘移和蒸发损失,是净喷洒水深;喷灌系统供给的水量是毛喷洒水深。净喷洒水深与毛喷洒水深之比,称为喷洒水利用系数η,其值用下式计算:

喷灌技术要素

式中 η为喷洒水利用系数;为平均喷灌强度(毫米/小时);s为实测喷洒面积(米2);Q为流量(米3/小时)。喷洒水利用系数是喷灌系统规划设计中的重要参数,通常在0.7~0.9之间,视喷头的工作水头、喷嘴直径和灌溉时的气温、湿度和风速而定。

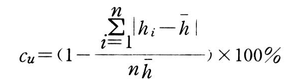
喷灌均匀度常用均匀系数表示,有多种计算公式,中国规定用下式计算:

喷灌技术要素

式中 cu为均匀系数;hi为各点水深(毫米);h为平均喷洒水深(毫米);n为受雨的雨量简数(雨量筒方格状排列)。中国过去还曾用k值计算均匀系数。其计算式为:

喷灌技术要素

k与cu的关系为cu值的大小应进行优选,但一般认为应不低于80%,过高,经济效益也并非最佳。在风力较大时,cu值可以降低,但不宜低于70%,以免漏喷。

水滴打击强度亦即水滴打击能量,它是1毫米水深的喷洒水滴打击到1平方米面积上的动能。水滴打击强度受水滴大小、降落速度和水滴密集程度的影响,所以在实践中也常用水滴直径间接反映打击强度,一般认为,大田作物和果树水滴直径以小于3毫米为宜,蔬菜等作物以小于2毫米为好。由于喷头喷洒的水滴各处大小并不一样,同一处的水滴直径也不相同,因此实测水滴直径要用中数直径表示,并以接近射流末端的各水滴直径作为计算基础。在喷灌系统的规划设计中有用喷头的工作水头与喷嘴直径的比值间接反映水滴打击强度的,称为H/d值。中国的实践认为,对一般大田作物,使用中压喷头时,H/d值在3000~4000之间为宜,H/d值过大,雾化固佳,但水量损失急剧增加,并不有利。对蔬菜作物,以使用低压喷头(或较低水头的中压喷头)为好,此时H/d值宜控制在4000~6000之间。