登录| 注册    
收藏  点赞 

河道整治规划

以某一河道(河段)整治为研究对象的水利工程规划。其目的是:根据国民经济建设提出的任务要求,如防洪、航运、引水、城市和工农业建设等,对河道(河段)的根治进行全面安排。人类古代治水主要是治河,长期的治河实践为近代河床演变学、河道整治工程学奠定了基础。顺水之性,因势利导,是中国古代总结的治河经验,迄今仍然是河道整治规划的主要原则。

以某一河道(河段)整治为研究对象的水利工程规划。其目的是:根据国民经济建设提出的任务要求,如防洪、航运、引水、城市和工农业建设等,对河道(河段)的根治进行全面安排。人类古代治水主要是治河,长期的治河实践为近代河床演变学、河道整治工程学奠定了基础。顺水之性,因势利导,是中国古代总结的治河经验,迄今仍然是河道整治规划的主要原则。进行河道整治规划时,要重视广泛搜集河道水文、泥沙、地形、地质资料,开展河道观测研究,分析河道特性,并予测今后发展趋势。以便将河道导向有利方向发展。

规划分类

按河道特性可划分为山区河道整治规划、平原河道整治规划及河口整治规划。

山区河道整治规划 山区河道两岸多系基岩,河床多为基岩或卵石组成,坡度较陡,流速较大,水位涨落较快,但变形强度小,比较稳定。整治的主要任务包括:改善航运、工农业引水条件、城市工矿码头和跨河建筑物的水流条件等。可根据不同河段的具体条件和整治要求,采取相应措施。由于山区河道水流再造床作用较弱,通过河道整治,一般只能对局部河段产生影响。

平原河道整治规划 平原河道两岸多系冲积平原。由于河道来水来沙和边界组成物质的差异,形成微弯、蜿蜒、分叉和游荡四种基本河型,具有不同的演变特性。整治的主要任务有防洪、航运、工农业引水、城市建设及工矿建设等。规划中应根据不同河型,制定相应的整治措施。对蜿蜒型河道,应力求通过整治成为平顺微弯的河道;对已发展为蜿蜒曲折的河段,可研究人工裁弯,以收到防洪、航运等方面的综合效益。对分叉型河道,可根据不同情况,采用塞支强干,稳定或改善叉道的整治措施。对游荡型河道,可采取淤滩堵叉、护滩导流等整治措施,将宽浅散乱的河床整治成比较窄深稳定的河床。

河口整治规划 根据影响河口河床演变的主要因素,河口分为四种类型,即强潮陆相河口、弱潮陆相河口、湖源海相河口及陆海双相河口。中国长江和珠江口均属冲积平原上的陆海双相河口,潮流段河床宽阔,支叉众多,并在每个口门附近形成拦门沙。钱塘江属于强潮海相河口,潮流强,泥沙主要来自口外海滨。黄河口则属于弱潮陆相河口,潮差较小,径流相对较强,泥沙主要来自黄河。河口整治的主要任务是防洪、航运、农田排灌、城市工矿用水以及滩地利用等;一般可以采用固滩护岸、堵叉、疏浚导流等整治措施。

设计参数

主要包括设计流量、设计水位、整治线的平面形式和宽度等。在进行河道整治规划时,必须根据国民经济建设的要求和整治河段的实际情况,正确选用设计数据。

设计流量和设计水位 整治洪水河槽的设计洪水流量应根据保护地区的重要性采用不同频率的洪水流量。整治中水河槽的设计流量,一般采用造床流量或平滩流量。以上设计水位均采用与流量相应的水位。整治枯水河槽的设计水位,应根据通航等级或其它整治要求,采用天然河道不同保证率的最低水位。设计流量,则采用与水位相应的流量。

整治线的平面形式 河道经过整治后,在设计流量下的平面轮廓线,称为河道整治线。整治线是布置整治建筑物的重要依据。平原河道整治线有:①洪水河槽整治线。洪水河槽由主河槽和滩地两部分组成。洪水河槽整治线即两岸堤防的平面轮廓线。堤线与主河槽岸坎线之间,应根据宣泄设计洪水和防止堤岸冲刷的需要,经过分析研究,留有足够的洪水滩地宽度。②中水河槽整治线。是对河势起控制作用的整治线。中水河槽岸坎线的平面形式随不同河型而异。中水河槽的整治线,一般应为曲率适度的连续曲线,曲线之间以适当长度的直线联接。对于不能形成单一河槽的河道,例如游荡型河道、分叉型河道,则应控制使其主流的整治线为曲率适度的连续曲线。设计整治线的曲率时,应采用圆顺的曲线。曲线的弯曲半径在弯顶最小,弯顶上、下游逐渐增大,在上、下游过渡段为无穷大,中水河槽整治线的弯曲半径和曲线之间直段的长度,可参考河道中水文、泥沙、地质条件与整治河段相似的优良河段资料,选用设计数据。所谓优良河段,是指河段岸线规则、曲线圆顺,曲线段之间的直线段长度适宜,洪、中、枯水期的主流稳定,流向基本一致,水流集中,没有分叉现象,并经长期观测证明,防洪、航运等条件较好的河段。当缺乏优良河段资料参考时,最小弯曲半径,可取本河道直线段平滩河宽的4~9倍,曲线段之间的直线长度,可取本河道直线段平滩河宽的1~3倍。③枯水河槽整治线。一般应在中水河槽整治线的基础上,根据航道和取水建筑物的要求,充分利用稳定深槽、边滩或江心洲进行设计。为了保持航道稳定,要求整治后的枯水河槽流向与洪、中水河槽流向的交角不大。枯水河槽整治线的最小弯曲半径较中水河槽整治线的为小,可参考优良河段资料选用;缺少优良河段资料时,最小弯曲半径,可取本河道直线段枯水河宽的4~9倍。枯水河槽曲线段之间的直线段长度,一般较中水河槽的直线段稍长。对于通航河道,中水河槽、枯水河槽整治线的最小弯曲半径应不小于顶推船队长度的三倍,拖带船队最大单船长度的四倍;曲线段之间的直线长度应不小于船队长度的1~2倍。平原河道洪、中、枯河槽整治线如图。

平原河道洪、中、枯河槽整治线示意图

河槽断面设计 平原河道整治通常可主要设计中水河槽断面。对于通航河道的碍航浅滩段,还应设计其枯水河槽断面。

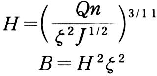
中水河槽断面设计,可参考优良河段资料,同时采用河相关系式进行计算。河相关系式很多,规划阶段可采用苏联国立水文研究所整理的宽深关系公式ξ、式中,B、H为直段平滩流量下的河宽、水深;ξ为河相系数,与河型有关。假设河段整治前后的流量和输沙能力不变,将河相关系式与流速公式及水流连续公式联解,可得河槽断面设计水深、河宽计算公式:

河道整治规划

式中 ζ值系优良河段的统计平均值;Q为平滩流量,以米3/秒计;n、J分别为整治河段综合糙率及河段比降,可参考优良河段资料选用。

河槽断面平均水深H与最大水深Hm的关系,可根据下式计算:

Hm=φH

式中的φ值,系优良河段的统计平均值。

枯水河槽断面设计,一般仅限于碍航浅滩段的断面。设计时,也可采用河相关系式、水流连续公式及流速公式联解,求得河槽断面设计水深及河宽。式中流量采用枯水河槽设计水位相应的流量,河相系数、综合糙率及河段比降均参考优良河段枯水期的资料采用。航道水深与断面平均水深的关系,可根据下式计算:

Hh=φH

式中 Hh为规定航道宽度的平均水深;φ为系数,参考优良段枯水期的资料采用。如果计算的Hh值不能满足设计航深,则应重新设计断面水深及河宽。

山区河道的河槽断面设计,可以参考平原河道的方法进行;但应对河道来沙量,特别是粗沙、卵石推移量进行分析计算;如不能满足输沙平衡要求时,则应重新设计。

河口整治可以根据河口段的水文、泥沙、河床资料,用经验方法求得河床断面与放宽率河相关系;同时,参考本河口的优良支叉资料和同类型比较稳定的河口资料,设计其整治线与河床断面。在设计整治线与岸线之间的滩地时,可根据口门整治与围垦滩涂相结合的原则,制定滩涂围垦规划,以合理开发利用滩涂资源。

河道整治工程措施

有以下几种主要工程措施:

堤防(或海堤)工程 堤防(或海堤)是平原河道(或河口)防止洪水灾害的主要工程措施。中国已有二千多年的实践经验。堤顶高程,应等于与设计洪水流量相应的水位加上波浪爬高和安全超高。堤身断面,应根据堤防(或海堤)的重要性结合堤高、土质等条件确定。堤线位置除满足泄水要求外,还应尽量避免通过淤泥软基地带。

护岸工程 护岸工程是平原河道防止滩岸崩坍、控制有利河势的主要工程措施。护岸工程,包括护脚和护坡两部分。较常采用的护脚工程有抛石、沉枕、石笼及柴排等;护坡工程有砌石、混凝土板、植草皮及埽工护坡等。河口海岸的护岸工程要考虑到受波浪和潮流的双重冲击。称为海塘工程。

整治建筑物 整治建筑物包括丁坝、顺坝和锁坝工程。丁坝、顺坝的作用是控制河势,调整河宽,增大水深;锁坝的作用是堵塞串沟或叉道。丁坝、顺坝和锁坝可用于山区河道、平原河道及河口整治;但工程结构形式,应按不同水流、河床特性进行具体设计。

疏浚和爆破 疏浚是山区河道、平原河道和开辟、维护航道的重要措施。爆破是山区河道开辟航道、扩大河槽泄量、改善河道水流条件的一项措施。疏浚和爆破可配合河道整治建筑物(包括护岸工程)的兴建,控制和调整河势。

开挖新河 指对蜿蜒曲折河段进行人工裁弯和为改善引水条件而新辟的引河。新河形成后,原河道一般将淤废封堵。此外,为了排洪、排涝、灌溉、航运和城市供水等目的,规划中,常要考虑开挖某些人工河道,以改变或调整原有的水系(见人工河道规划)。

河道整治经济效益论证

经济效益论证是河道整治规划的重要内容。解决平原地区防洪问题,除兴建具有防洪效益的上游干支流水库、采用分蓄洪工程外,通过河道整治,扩大河道的泄洪能力仍是主要的途径。许多河道都有通航问题,控制河势改善水流条件后,常对航运带来相当好处。因此,河道整治规划应首先以整治后所提高的防洪排涝能力,从而减少的城乡淹没损失,论证其防洪经济效益,以整治后增加航道和港口的水深,改善航行水流条件,从而增加单位马力的拖载量、缩短船舶运输的周期,提高航行的安全保证等,论证其航运经济效益。此外,河道整治规划对引水、城市建设、工农业建设以及跨河建筑物等项任务要求,凡具有经济效益者,也均应一一进行分析论证,以便按照整治工程所需的费用和全部经济效益估算工程投资收回年限,作为决策的依据。