登录| 注册    
收藏  点赞 

林业技术经济效果

在林业再生产过程中,运用技术因素(技术措施、技术方案和技术政策)所取得的经济效果,即投入与产出之间的比例关系。研究和评价林业技术经济效果要综合运用林业技术科学和林业经济科学的知识,通过对技术措施、技术方案和技术政策的综合分析、比较、计算,全面衡量它们的经济效果,从而选出生产上可行、技术上先进、经济上合理的最佳方案。

在林业再生产过程中,运用技术因素(技术措施、技术方案和技术政策)所取得的经济效果,即投入与产出之间的比例关系。研究和评价林业技术经济效果要综合运用林业技术科学和林业经济科学的知识,通过对技术措施、技术方案和技术政策的综合分析、比较、计算,全面衡量它们的经济效果,从而选出生产上可行、技术上先进、经济上合理的最佳方案。

特点

①综合性和相关性:林木生长发育受各种因素的影响,采用综合性的技术措施的经济效果要高于单项技术措施经济效果的总和。因此,选择适用、先进的林业技术,因地制宜地组成培育林木的技术体系,发挥综合措施的作用,对林业生产有重要意义。同时,林业技术措施之间有着密切的联系,互相促进和制约,有明显的相关性。②持续性:培育林木生产周期长,营林技术措施不仅要当年见效,而且还要在长期内起作用。③不稳定性:林业生产受自然条件的影响较大,可变因素多,林业技术经济效果的计量和预测难度较大。④效益多样性:森林不仅能为人类提供木材和其他林产品,而且是人类生存生物圈内陆地生态系统中最大的生态系统,因此,保持生态平衡在林业技术经济效果评价中居重要地位。

指标

马克思的劳动价值论和价值转移论,是技术经济效果的理论基础。技术运用于生产后,以它的生产成果来满足社会需要,同时要消耗一定数量的劳动。林业技术经济效果就表现为生产成果(产出)与劳动消耗(投入)的对比关系。生产成果是指有用的成果。它的实物形态包括培育的林木和野生动物,生产的各种林产品,完成的作业和劳务等。它的价值形态表现为产值、净产值和纯收入。劳动消耗包括活劳动消耗和物化劳动消耗,其价值形态是劳动报酬和各种物资消耗量的货币总额,接近于用生产费用或成本来表示的全部劳动消耗。技术经济效果指标可分为两大类:

①用绝对数表示的经济效果指标有:

净产值=产值-物化劳动消耗

纯收入=产值-(活劳动消耗+物化劳动消耗)

②用相对数表示的经济效果指标,主要如表中所示。

计算 ①林地生产率指标:

林地生产率=林木总蓄积量(或产值)/有林地面积

林业技术经济效果

林业技术经济效果

②劳动生产率指标:

林业技术经济效果

林业技术经济效果

培育森林的生产周期长,计算劳动生产率指标比较困难,一般采用分段计算的劳动生产率指标。

投入与产出组合的经济效果指标表

③成本指标:林业生产周期长,立木成本计算较为困难,营林生产中先分阶段、分作业项目计算单位作业项目的生产费用(作业成本),然后累加作业费用,计算出单位立木成本。

单位作业项目生产费用=某项作业生产费用/作业面积

单位立本成本=每公顷作业总成本(总生产费用)/每公顷立木蓄积量

④资金利润率指标:

林业技术经济效果

资金利润率可分为总资金利润率,固定资金利润率、流动资金利润率。

⑤林业综合生产率指标:将投入林业生产的土地、活劳动、物化劳动三种要素的经济效果综合起来形成的总指标。

林业技术经济效果

式中 T为林业综合生产率;t1t2、分别为林地生产率、劳动生产率(劳动效率)、单位物资费用产量(或作业量)。

⑥林业基本建设投资效果指标:分静态指标和动态指标。

投资经济效果的静态指标:

t=K/m

E=m/k

林业技术经济效果

Z=C+E·K

式中 t为投资回收期;K为总投资;m为平均年纯收入;E为投资系数;t为追加投资回收期;K1K2分别为第Ⅰ、Ⅱ方案的总投资数;C1C2分别为第Ⅰ、Ⅱ方案的年生产成本;E为标准(目标)投资效果系数;C为年生产成本;Z为年计算费用。

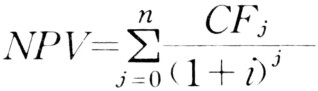
投资经济效果的动态指标:分为内部收益率和净现值。内部收益率(内部利润率)为

林业技术经济效果

式中 CFj为第j年的现金流量,j=0、1、2,……ni为贴现率;n为自投资开始至工程项目寿命结束的年限。满足上式的i值,即为工程项目投资的内部收益率。

净现值为

林业技术经济效果

式中 i为标准(或目标)内部收益率。