登录| 注册    
收藏  点赞 

航空象片面积成数抽样

的估测提供了理论依据。成数抽样的主要过程如下:样本单元数的计算样点数,式中p为某地类成数的预估值;q为1—p;t为与选定的概率水平相应的t值,当可靠性为95%时,t=1.96;E为允许误差,以小数表示。例如,某地类成数估测要求可靠性为95%,允许误差0.

通过判读布设在航空象片上的样本,对总体各种地类百分数进行估测的抽样调查技术。组织样本时,成数样本单元有多种形式,但常见的是用一套系统布置的点状样本判读各地类的成数,所以又称为航空象片的成数点抽样。

成数抽样的实质是0~1变量的简单随机抽样。当第i个样点的定性数据属某地类时为1,否则为0,不能具有兼容属性。成数抽样遵从二项分布律。当成数样本单元数充分大时,样本的成数直接反应总体的成数,从而为总体的估测提供了理论依据。成数抽样的主要过程如下:

样本单元数的计算

样点数,式中p为某地类成数的预估值;q为1—pt为与选定的概率水平相应的t值,当可靠性为95%时,t=1.96;E为允许误差,以小数表示。例如,某地类成数估测要求可靠性为95%,允许误差0.01,概略预估其成数约占总面积的60%,需要设置的航空象片样点数为

航空象片面积成数抽样

同时还要分别计算出每一种地类的样地数量,因为地类的成数不同,其样点数量也就不相同。若以成数最小的地类作为基准,对于百分数较大的地类,精度将会偏高。若以目的地类作为基准,百分数较小的地类,需要适当地增补样点数,以提高抽样精度。

样点的布设

成数样点一般采用系统抽样方式机械布设。如有象片平面图或者象片略图,应在象片图上布点;否则,直接在单张航空象片上布点。假若总体所包括的范围很大,象片数量与成数样点数量差不多,可以在每一张象片上布设一个点,成数点按象片中心点布置,这样就避免了地形起伏引起的投影差和比例尺变化引起的偏差。因为航空摄影时是按固定的时间间隔拍摄的,按象片中心点布点就是系统布设。假若总体范围较小,每张象片上需要布设几个成数样点,则不宜直接利用航片布点。因为林区地形起伏较大,存在着地形起伏的投影差,致使样点位置发生位移,不能保证抽样的随机等概率的原则,常影响抽样精度。因此应先在地形图上系统布设样地点位,通过几何校正转绘标定到航片上。样点大小以能够判读地类为原则,在大比例尺航片上常取0.1公顷的圆形面积,中小比例尺航片上用0.2~0.25公顷的圆形面积。力求样点内地类属性一致,避免地类插花混杂。

样点的判读

判读前要进行判读训练,制作判读样片(见航空象片森林判读样片)和判读检索表(见航空象片森林判读检索表)。进行地类判读时,应以航片上的影象特征、形状、大小、灰度和阴影,彩色航片的色种、彩度和明度,以及林业知识作为标志和依据。地类的属性只能有一个,不能判读成综合性样点。判读结果按样点顺序号记录所属地类。

地类面积的计算

按公式:p=n/N=a/A,则

式中 p为某地类成数;n为某地类样点数;N为各地类样点总数;a为某地类的面积;A为已知总体面积。例如,某总体面积为20000公顷,系统布设成数点1000个,根据航片判读结果有270个点落入针叶林内,则其面积为:公顷。抽样误差的计算,先计算地类的成数抽样的标准差。式中q为1—p;其他符号同前。在此基础上即可计算标准误差、绝对误差、相对误差和估测精度。

成数点判读的检查和修正

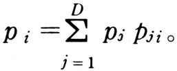
为了修正或评定航片成数抽样的误差,需要进行检查。检查样点按比例抽取,但同时又要注意面积百分数小的地类,至少也要有20个以上的检查样点。如果按比例只分到5个外业检查样点,如发现1个误判样点,将带来20%的修正值,影响估测精度。修正计算公式如下:成数改正以i地类为例,公式为

航空象片面积成数抽样

式中 pj为各地类象片样点原判成数;pji为各地类检查样点成数中属于i地类者;D为地类数量。其他各地类也进行同样改正。

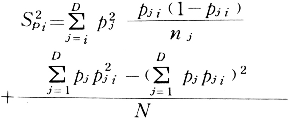
改正后的成数方差计算公式,以A地类为例:

航空象片面积成数抽样

式中 nj为各地类外业检查样点数;N为航片上样点总数;其余符号同上。

所用航片需要近期拍摄,才能反映地类现状。地类的划分必须是在航片上能够准确地直接判读所得到的,而且成数抽样所估测的地类面积只能落实到总体。